Associations of bedroom PM2.5, CO2, temperature, humidity, and noise with sleep: An observational actigraphy study.

Basner M, Smith MG, Jones CW, et al. (2023) Sleep health
Title and abstract of Associations of bedroom PM2.5, CO2, temperature, humidity, and noise with sleep: An observational actigraphy study.

Key Takeaway

Higher bedroom CO2, PM2.5, noise, and temperature were each independently associated with worse objectively measured sleep quality in a real-world home study of 62 adults.

Summary

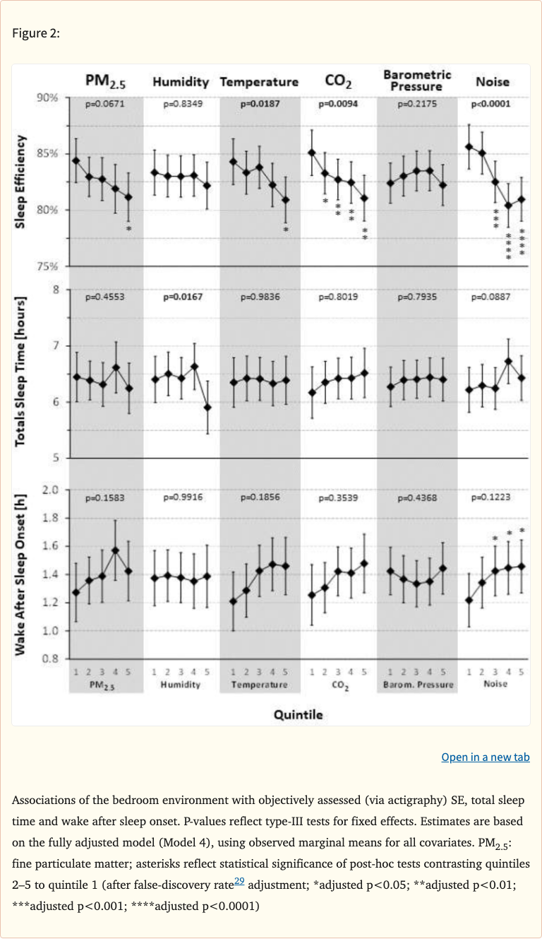
This observational study examined how common bedroom environmental factors — particulate matter (PM2.5), carbon dioxide (CO2), temperature, humidity, and noise — relate to objective and subjective sleep outcomes in a real-world setting. Sixty-two healthy adults were monitored in their own bedrooms for up to two weeks using environmental sensors and wrist actigraphy.

The results showed that multiple environmental variables were independently associated with sleep quality. Higher bedroom CO2 concentrations (a proxy for poor ventilation) and elevated PM2.5 levels were each linked to lower sleep efficiency and more wake time after sleep onset. Higher bedroom temperatures were also associated with poorer sleep outcomes, consistent with the well-established role of thermoregulation in sleep.

Noise exposure was associated with reduced sleep quality, particularly in terms of increased awakenings and fragmentation. Humidity showed more complex relationships depending on other environmental conditions. Window opening behavior and air conditioning use were associated with improvements in several environmental parameters and corresponding sleep metrics.

The study is notable for its ecological validity — participants slept in their own homes under natural conditions, making the findings directly relevant to real-world sleep environment optimization. The multi-variable approach demonstrated that bedroom environment is a modifiable, multifactorial determinant of sleep quality.

Methods

  • Observational study of 62 healthy adults (ages 22-64) in the Philadelphia area
  • Participants monitored for up to 14 nights in their own bedrooms
  • Environmental sensors measured PM2.5, CO2, temperature, humidity, noise, and light continuously
  • Sleep objectively measured via wrist actigraphy (Actiwatch Spectrum)
  • Subjective sleep quality assessed via daily morning questionnaires
  • Window opening behavior and HVAC use recorded
  • Linear mixed-effects models adjusted for age, sex, BMI, season, and repeated measures

Key Results

  • Higher CO2 levels associated with lower sleep efficiency and more wake after sleep onset (WASO)
  • Higher PM2.5 associated with reduced sleep efficiency and increased WASO
  • Higher bedroom temperature associated with worse sleep efficiency
  • Noise was associated with more sleep fragmentation and awakenings
  • Opening windows was associated with lower CO2 and PM2.5, and better sleep outcomes
  • Air conditioning use was associated with lower temperature and improved sleep metrics
  • Subjective sleep quality partially correlated with objective actigraphy measures
  • Effects were independent — multiple environmental factors contributed simultaneously

Figures

Limitations

  • Observational design; cannot establish causation
  • Actigraphy is less precise than polysomnography for sleep staging
  • Single geographic region (Philadelphia) limits seasonal and climate generalizability
  • Self-selection bias — participants willing to be monitored may differ from general population
  • Could not control for all confounders (e.g., stress, caffeine, exercise)
  • Sensor placement and bedroom layout varied across participants

Related Interventions

Related Studies

Source

View on PubMed →

DOI: 10.1016/j.sleh.2023.02.010