Glycine and N-acetylcysteine (GlyNAC) supplementation in older adults improves glutathione deficiency, oxidative stress, mitochondrial dysfunction, inflammation, insulin resistance, endothelial dysfunction, genotoxicity, muscle strength, and cognition: Results of a pilot clinical trial

Sekhar RV, et al. (2022) Clinical and Translational Medicine
Title and abstract of Glycine and N-acetylcysteine (GlyNAC) supplementation in older adults improves glutathione deficiency, oxidative stress, mitochondrial dysfunction, inflammation, insulin resistance, endothelial dysfunction, genotoxicity, muscle strength, and cognition: Results of a pilot clinical trial

Key Takeaway

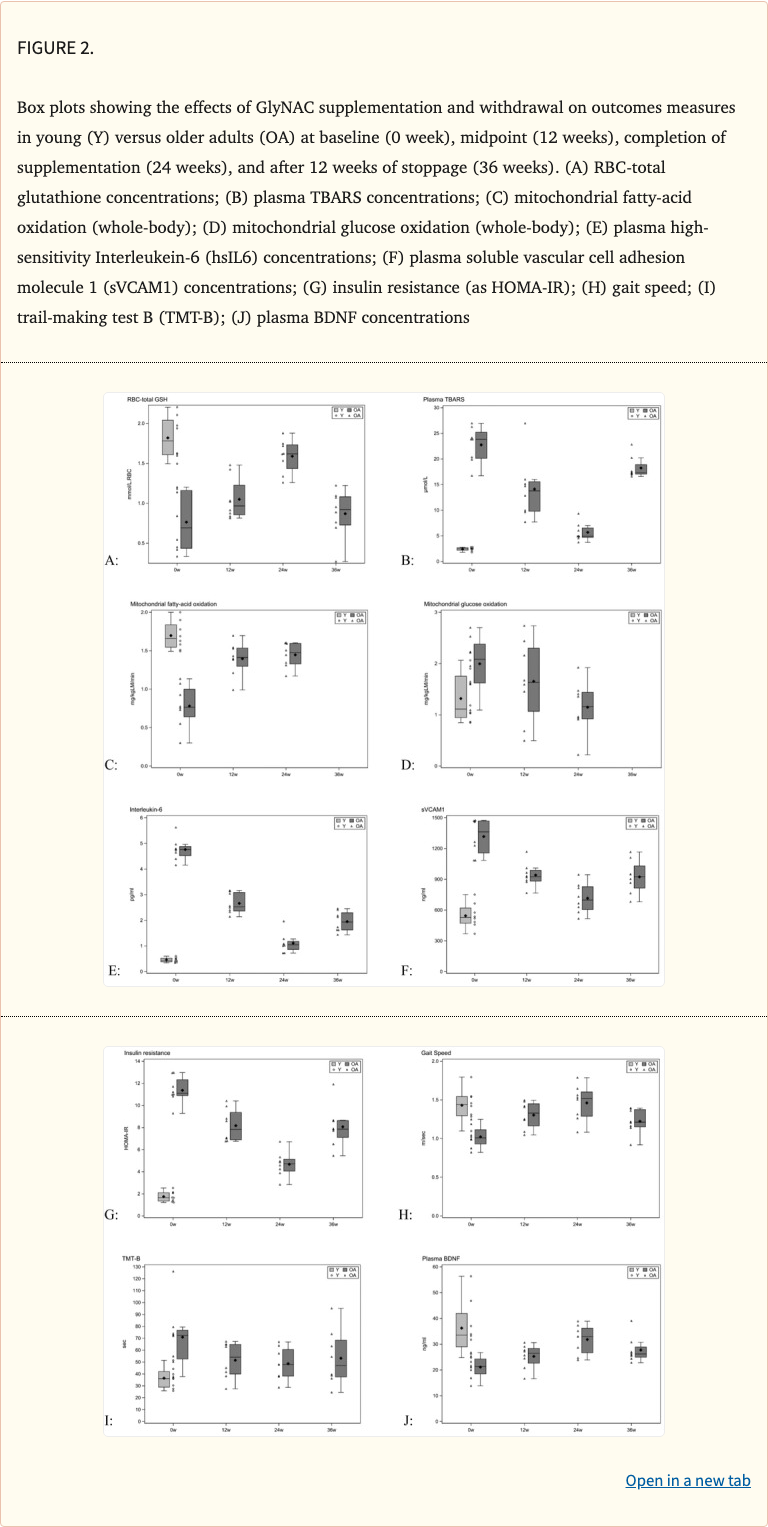
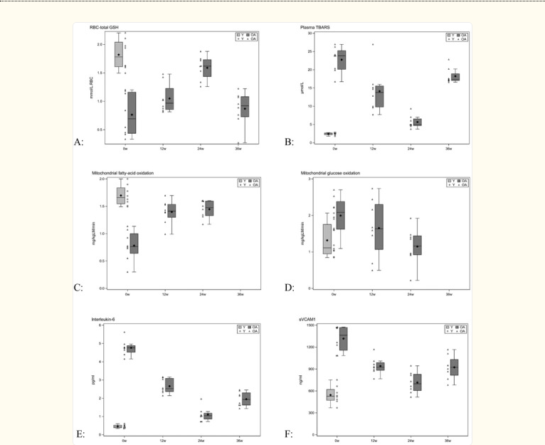
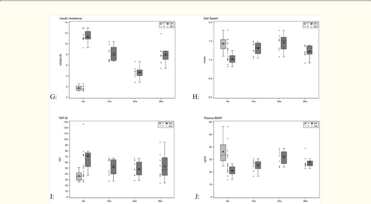
GlyNAC supplementation in older adults corrected glutathione deficiency and improved multiple hallmarks of aging.

Summary

This clinical trial from Baylor College of Medicine tested glycine + NAC (GlyNAC) supplementation in older adults. After 16 weeks, participants showed:

  • Corrected glutathione deficiency
  • Reduced oxidative stress
  • Improved mitochondrial function
  • Better physical function measures

The combination addresses age-related decline in glutathione synthesis by providing both precursors.

Figures

Related Studies

Source

View on PubMed →

DOI: 10.1002/ctm2.372