The influence of head-of-bed elevation in patients with obstructive sleep apnea

Souza FJFB, Genta PR, de Souza Filho AJ, Wellman A, Lorenzi-Filho G (2019) Sleep and Breathing
inclined-bed-therapy inclined-bed sleep-apnea positional-therapy
Title and abstract of The influence of head-of-bed elevation in patients with obstructive sleep apnea

Key Takeaway

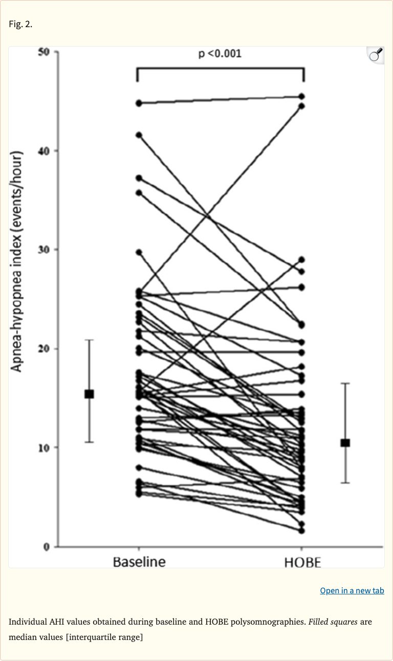
7.5° head elevation reduced mild-moderate OSA severity by 31.8% on average.

Summary

This study examined how head-of-bed elevation affects obstructive sleep apnea severity in patients with mild to moderate OSA.

Key findings:

  • 7.5° incline reduced OSA severity by 31.8% average
  • Improved oxygen saturation during sleep
  • Reduced apnea-hypopnea index
  • May be useful adjunct to other OSA treatments

The researchers note positional therapy (including bed elevation) is an underutilized approach for mild-moderate OSA.

Figures

Related Interventions

Related Studies

Source

View on PubMed →

DOI: 10.2196/30102